Student Services » Health Services

Health Services

Healthy Students Learn Better

 

Recognizing that healthy students learn better, the School District has a licensed nurse in each school. The purpose of school nursing is to enhance the educational process by the modification or removal of health related barriers to learning and by promotion of an optimal level of wellness. School nurses accomplish these activities in partnership with students, parents, school staff and the surrounding medical community. If you have questions or concerns about your child’s health or school nursing services, please contact your school nurse. It is especially important to report any illness or condition that your child has that may require medical support during the school day.

 

Health Room Policy and Procedures

 
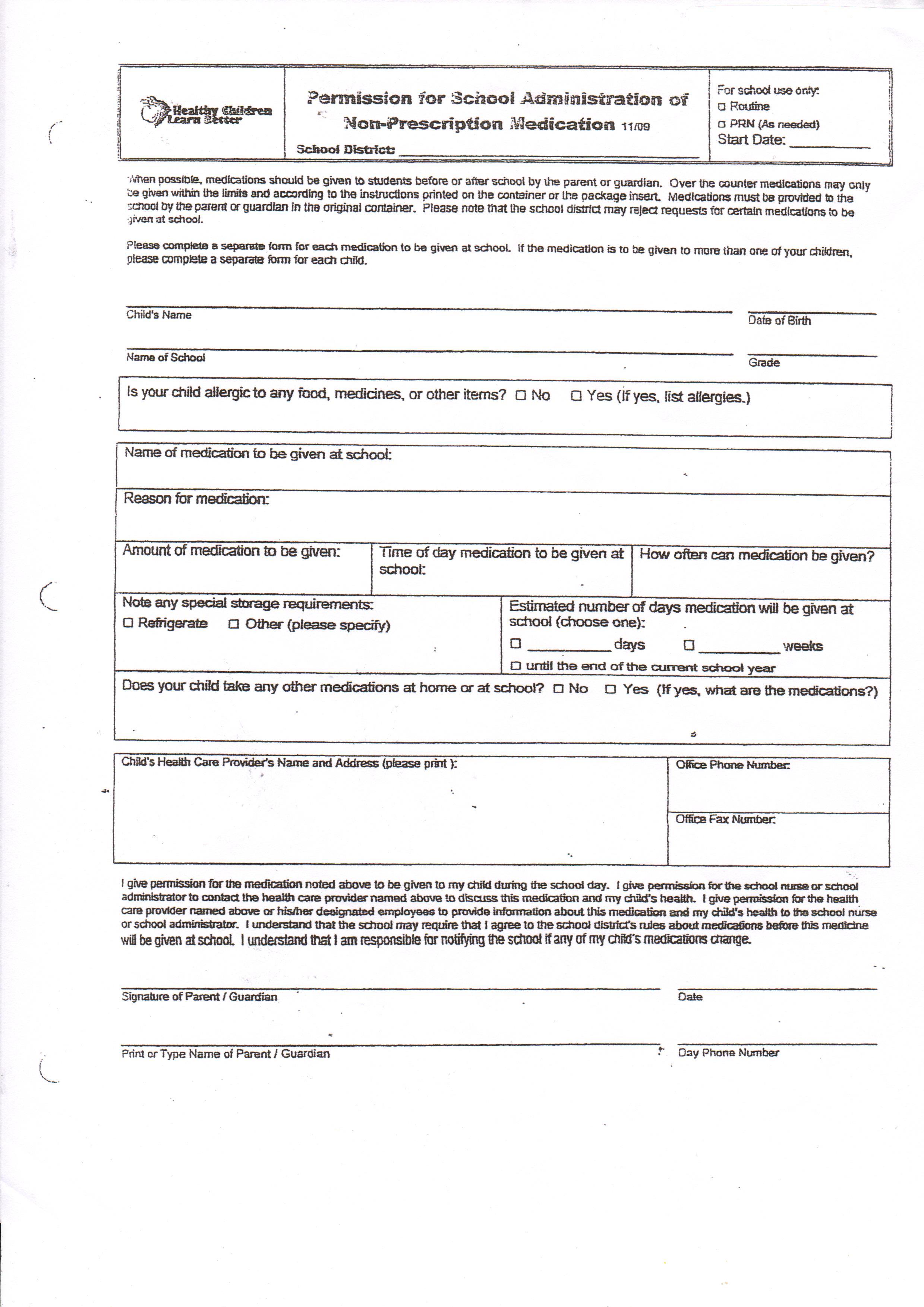
  • All medication/procedures require written consent from both the physician and the parent/legal guardian.
  • All medication must be properly labeled and stored in the original container.
  • All as needed medication (Tylenol, Ibuprofen, etc.) requires written consent from both the physician and the parent/legal guardian. Medication must then be provided to the nursing office with the original label, as well as the child's name affixed to it.
  • Students may self-monitor/self-administer with written consent from both physician and the parent/legal guardian.
  • The parent/legal guardian will reclaim any unused medications within 10 days of the termination of treatment or within 2 days of the last day of school. The school will destroy any unused medications after this time.
 

State Immunization Requirements

A child will not be allowed to attend school without a valid SC Certificate of Immunization or a medical, religious, or special exemption.  If your child does not have a valid certificate, take his/her shot records to your physician or the county health department. A parent or adult authorized by the parent must accompany a student under 16 who requires shots.  Click on the link below for more information on the South Carolina Department of Public Health Vaccine Requirements.

SC DPH Immunization Requirements for School Attendance

 

Consent Forms

Contact Us
 
Ridgeland Elementary-
Cheryl Finlaw, LPN
Tina Hinton, CNA
843-489-8845 ext. 3006
 
Ridgeland Secondary Academy of Excellence-
Cassie Aleksivich, RN
Whitley Deloach, CNA
843-489-8844 ext. 4314
 
Hardeeville Elementary-
Janine Davis, RN
843-310-1888 ext. 5006
 
Hardeeville Jr/Sr. High-
Stevi Mingledorff, LPN
843-310-1898 ext. 6316